黔西矿区软硬分层煤温度−压力耦合影响瓦斯解吸试验

Temperature-pressure coupling effect on gas desorption test in soft and hard stratified coal from the Qianxi mining area

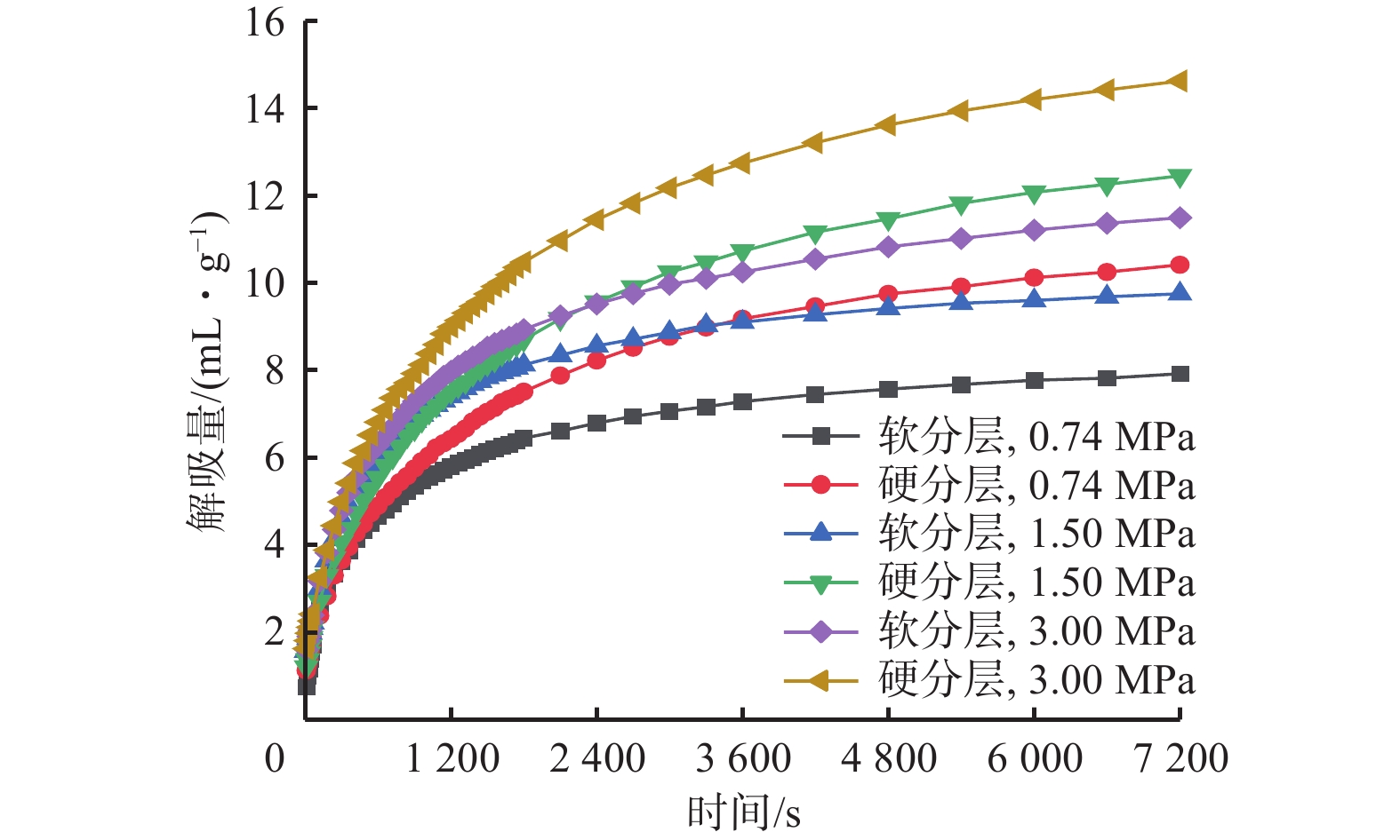
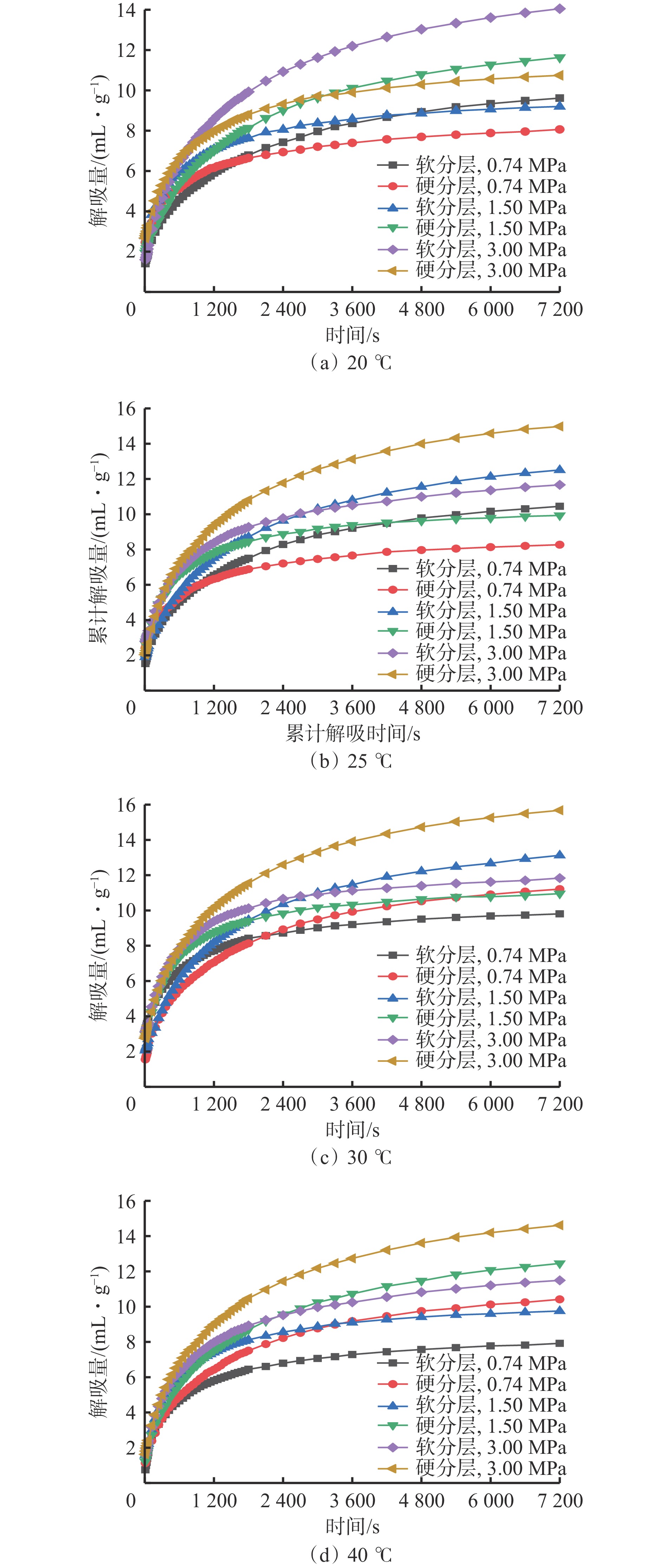
  • 摘要: 煤层瓦斯解吸特性对矿井瓦斯涌出规律和煤层气开发有重要影响,煤层温度和压力变化对软硬分层煤瓦斯解吸有明显控制作用。贵州黔西矿区煤层大多属于高瓦斯近距离突出煤层群,软硬结合较多,且煤层透气性低。为进一步明确该地区煤层瓦斯解吸特性,以贵州黔西典型矿区小屯煤矿和青龙煤矿软硬分层煤为研究对象,利用HCA型高压容量法吸附装置对软硬分层煤进行不同温度、压力下的瓦斯解吸特征试验研究,对比分析温度、压力耦合变化对软硬分层煤瓦斯解吸特征的影响。结果表明:同一煤样温度、压力越高,瓦斯解吸初速度越大,对于0~120 s内的初始瓦斯解吸,瓦斯压力不占主导作用;软分层煤初始瓦斯解吸速率大于硬分层煤,硬分层煤累计瓦斯解吸量大于软分层煤,硬分层煤累计瓦斯解吸量最快在540 s内超过软分层煤;煤体暴露后60 s内含煤瓦斯解吸量变化最剧烈,且软分层煤前60 s解吸量所占比例大于硬分层煤,解吸更“活跃”;瓦斯解吸速率随压力的增加而升高,解吸速率可划分为3个阶段,即0~60 s为“解吸爆炸期”,60~1 500 s为“解吸跳跃期”,1 500~7 200 s为“解吸稳定期”;软分层煤中值解吸时间受温度、压力影响大于硬分层煤,软分层煤瓦斯解吸主要集中在煤炭暴露后1 800 s内。

     

    Abstract: The gas desorption characteristics in coal seams play a significant role in understanding gas emission patterns in mines and in coalbed methane development. Variations in coal seam temperature and pressure significantly control gas desorption in coal seams with soft and hard coal stratification. Most of the coal seams in the Qianxi mining area of Guizhou Province have high gas content, closely spaced layers, and are prone to outbursts, with a combination of soft and hard layers and low permeability. To further clarify the gas desorption characteristics of these coal seams, the study focused on coal from layers with soft and hard stratification in the Xiaotun and Qinglong coal mines, which are typical in the Qianxi mining area. Gas desorption experiments under varying temperatures and pressures were conducted using an HCA high-pressure volumetric gas adsorption device. The impact of temperature-pressure coupling on gas desorption characteristics of coal samples from layers with soft and hard stratification was comparatively analyzed. The results showed that for the same coal sample, higher temperature and pressure led to a greater initial gas desorption rate. Within 0-120 s of initial desorption, gas pressure played a less dominant role. The initial gas desorption rate of coal in soft layers was higher than that of hard layers, while the cumulative gas desorption amount of coal samples in hard layers exceeded that of soft layers. The cumulative desorption amount of samples in hard layers surpassed that of soft layers within 540 s. The most significant changes in gas desorption occurred within the first 60 s of coal exposure, with coal in soft layers exhibiting a higher proportion of desorbed gas during this period, making it more "active" in desorption. The gas desorption rate increased with pressure and could be divided into three stages: explosion stage (0-60 s), leap stage (60-1 500 s), and stabilization stage (1 500-7 200 s). The median desorption time of coal samples in soft layers was more significantly influenced by temperature and pressure compared to samples in hard layers, with gas desorption in soft layers occurring primarily within the first 1 800 s after coal exposure.

     

/

返回文章
返回