实验研究

基于贝叶斯网络的煤矿瓦斯爆炸事故致因分析

张宁,盛武

(安徽理工大学 经济与管理学院, 安徽 淮南 232001)

摘要针对现有煤矿事故致因分析多以单方面因素分析为主,忽略人、机、环、管4个方面各因素间的关联性和整体性,且涉及到的事故类型较泛化等问题,从人、机、环、管4个方面选取诱发煤矿瓦斯爆炸事故的因素,并利用相关性分析筛选出相关性较强的变量;以GeNie为平台构建煤矿瓦斯爆炸致因贝叶斯网络模型,并采用交叉验证方法对其可靠性和准确性进行验证;通过贝叶斯网络参数学习、敏感性分析等对模型中各节点变量进行分析,计算不同条件下相关节点的条件概率分布和后验概率,提取诱发煤矿瓦斯爆炸事故的关键因素。分析结果表明:通风不足会大幅提高煤层瓦斯含量超标的可能性,员工培训不到位是瓦斯漏检的主要诱因;在煤矿瓦斯爆炸事故已发生的情况下,可能性最大的诱因是瓦斯含量超标,其次是瓦斯漏检;导致煤矿瓦斯爆炸事故的最关键因素是瓦斯含量超标、瓦斯漏检、顶板不稳定、法律法规不健全。

关键词煤矿瓦斯爆炸; 事故致因; 贝叶斯网络; 相关性分析; 交叉验证; 后验概率; 敏感性分析

0 引言

煤矿瓦斯爆炸作为破坏性极强、发生率较高的煤矿事故类型已成为影响煤矿安全的“主要杀手”。综合分析导致煤矿瓦斯爆炸的各种因素,从源头找出诱发事故的关键因素,对提高瓦斯爆炸风险管理水平、减少煤矿事故等至关重要[1-2]。目前国内已有众多学者从事煤矿瓦斯爆炸致因分析研究,形成了丰富的煤矿瓦斯爆炸致因分析模型[3-5]

贝叶斯网络既可通过条件概率对事件各变量间的依赖程度进行分析,又可借助后验概率及敏感性分析等反向推理对事件整体态势进行分析评价,具备故障诊断和风险预测双重功能[6];此外,贝叶斯网络以图论为基础,融合了图形化语言和概率论两方面内容,可清晰直观地展现各变量间的因果关系,已成为分析推理不确定性问题的有效且实用的机器学习方法[7-8]

目前,已有部分学者利用贝叶斯网络对煤矿事故进行分析研究,如文献[9]通过构建贝叶斯网络模型,对煤矿顶板事故致因进行了分析;文献[10-11]构建了煤矿安全事故人因分析贝叶斯网络模型,总结了导致人的不安全行为的深层因素。分析发现,现有研究在利用贝叶斯网络分析煤矿事故致因时多以单方面因素分析为主,往往忽略了人、机、环、管4个方面各因素间的关联性和整体性。此外,大多数研究涉及到的事故类型都比较泛化,以煤矿瓦斯爆炸事故为具体研究对象,综合人、机、环、管4个方面因素对其致因进行深入系统研究的文献相对较少。鉴此,本文结合煤矿瓦斯爆炸事故调查报告,从人、机、环、管4个方面选取诱发煤矿瓦斯爆炸事故的因素,借助SPSS21.0对各因素进行相关性分析;构建煤矿瓦斯爆炸致因贝叶斯网络模型,找出导致煤矿瓦斯爆炸事故的关键因素及各因素发生概率,为有效预防煤矿瓦斯爆炸事故、制定煤矿瓦斯爆炸防范措施等提供理论支撑和决策支持。

1 数据来源和要素选取

以2010—2018年为研究时段,以各省煤矿安全监察局官方网站中的煤矿事故调查报告为数据来源,经搜集整理,共获取58起煤矿瓦斯爆炸较大及以上事故分析调查报告。

引起煤矿瓦斯爆炸的因素复杂多样,通过识别关键风险源,可有效避免煤矿瓦斯爆炸事故的发生。本文在选取煤矿瓦斯爆炸风险要素过程中,采用数据驱动思想,提取58起煤矿瓦斯爆炸事故分析报告关键词,并统计各关键词出现频次,结果见表1。

表1 煤矿瓦斯事故调查报告关键词
Table 1 Key words of investigation report of coal mine gas accidents

关键词频次关键词频次关键词频次管理机制不健全44管理技术不到位22管理决策方式失误10通风不足38违章作业20违章点火8瓦斯积聚37无证上岗19高温火源5非法、违规生产31违章爆破18顶板垮落5管理混乱30人员配备不足15煤尘浓度超标4电火花、火焰29法律法规14煤炭自燃3培训不到位29瓦斯含量超标11煤炭垮落3瓦斯漏检26违章指挥11温度2

以关键词出现频次统计结果为基础,结合现有文献和客观事实,选取出现频次相对较高的关键词,从人、机、环、管4个方面综合考量,最终以表2中19个变量作为研究要素。

2 贝叶斯网络原理及模型构建

2.1 贝叶斯网络原理

贝叶斯网络通过有向无环图(DAG)将变量间的复杂关系以可视化方式呈现出来,DAG是贝叶斯网络的核心内容,由节点和有向弧构成。其中,节点代表要研究的变量,有向弧代表变量间的因果关系,由父节点指向子节点。

通过联合概率分布对贝叶斯网络中全体节点的关联程度进行定义。对于事件A,设影响其发生的所有事件集合为V=(V1,V2,…,Vn),n为事件总数,则相关的贝叶斯公式为

P(Vi|A)=

(1)

表2 瓦斯爆炸致因研究要素
Table 2 Research elements of gas explosion causes

类别变量名称符号变量取值事故瓦斯爆炸B1:发生;0:不发生人为因素(H)带电作业H11:是;0:否违章爆破H21:是;0:否瓦斯漏检H31:是;0:否设备因素(D)通风正常D11:是;0:否煤电钻/电缆产生电火花D21:是;0:否环境因素(E)粉尘浓度E11:正常;0:不正常温度E21:正常;0:不正常湿度E31:正常;0:不正常瓦斯含量超标E41:是;0:否顶板稳定E51:是;0:否管理因素(M)法律法规健全M11:是;0:否安全监管机制到位M21:是;0:否教育培训到位M31:是;0:否无证上岗M41:是;0:否违章指挥M51:是;0:否违章操作M61:是;0:否管理决策方式失误M71:是;0:否管理技术到位M81:是;0:否违规组织生产、开采M91:是;0:否

式中:P(Vi|A)为后验概率,i=1,2,…,nP(A|Vi)为事件Vi发生条件下事件A发生的概率,即条件概率;P(Vi)为先验概率;P(A)为事件A发生的概率。

对于已确定的贝叶斯网络模型,其节点的联合概率分布P(V)为

(2)

式中Vpa(Vi)为节点Vi的所有父节点。

2.2 变量相关性分析

对获取的样本数据进行相关性分析,可提取引起煤矿瓦斯爆炸事故的关键要素,降低数据维度,简化模型结构,提高贝叶斯网络模型预测精度。利用SPSS21.0对变量相关性进行分析,筛选出相关性较强的变量,结果见表3。

从表3可看出,不同变量间的相关强度不同,其中变量D1(通风正常)和E4(瓦斯含量超标)的相关性最强,在0.01水平上高达0.859;其次是E2(温度)与E3(湿度),其相关程度在0.01水平上,达到0.726。

表3 变量相关性
Table 3 Correlation of variables

变量相关变量相关程度变量相关变量相关程度BH2H20.263H30.652**E40.490*E5-0.324M2-0.497*D20.420*E20.218E30.247E50.212M40.418H3D1E2E1-0.159 E40.530**M1-0.358**M50.304M80.416*M9-0.659**M10.263M30.167E3-0.726**M8-0.224D2E1H1E20.201E30.256M50.589*M60.463*M70.398*M20.295*M80.290*D20.496*M2-0.390**M50.289*E3E4E5M2M3M4M6M8-0.309*D1-0.859**M80.346*M9-0.274*M5-0.558M40.197M50.261*M50.285*M8-0.390**M90.401

注:*表示在 0.05 水平(双侧)上显著相关;**表示在 0.01 水平(双侧)上显著相关

2.3 贝叶斯网络模型构建

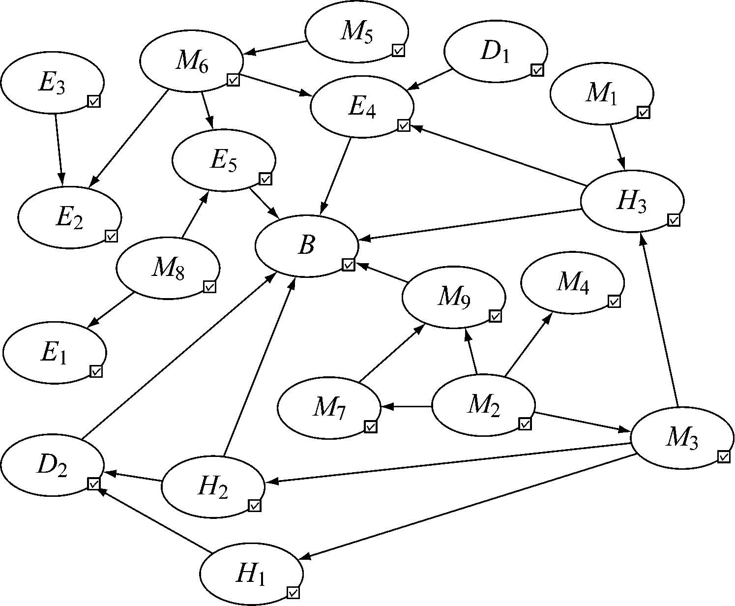
将获取的样本数据导入贝叶斯网络软件GeNie中,构建初始贝叶斯网络模型。结合变量相关性分析结果对模型进行调整、修正,最终构建的煤矿瓦斯爆炸致因贝叶斯网络模型如图1所示。

图1 煤矿瓦斯爆炸致因贝叶斯网络模型
Fig.1 Bayesian network model of causes of coal mine gas explosion

图1从整体上反映了煤矿瓦斯爆炸诱因及各因素间的因果关系。其中,节点B为研究对象“瓦斯爆炸”,其余各节点为导致煤矿瓦斯爆炸事故发生的各相关因素;各节点间的连线为相关因素间的直接因果关系,由因指向果。

3 贝叶斯网络模型分析与推理

3.1 模型验证

为提高模型预测准确性和可靠性,对构建的贝叶斯网络模型进行交叉验证(Cross-Validation)。目前,常用的交叉验证方法有Leave One Out Cross Validation(LOO-CV),K-Fold Cross Validation(K-Fold-CV)等。其中,LOO-CV作为K-Fold-CV的特殊情况,主要适用于小样本数据的模型准确性检验,因此,本文选用LOO-CV交叉验证方法验证贝叶斯网络模型可靠性。在GeNie中,选取工具栏中的“Validate”按钮,验证方法选择“Leave one out”,对模型中各节点预测精度进行计算,结果见表4。

表4 贝叶斯网络模型交叉验证结果
Table 4 Cross-validation results of Bayesian network model

节点预测精度节点预测精度B0.983E50.810H10.901M10.986H20.603M20.983H30.879M30.983D10.603M40.790D20.869M50.586E10.828M60.897E20.741M70.931E30.845M80.985E40.966M90.621

从表4可看出,节点的最高预测精度可达0.986,且预测精度在0.8以上的节点居多。经计算,节点整体预测精度为0.886。整体而言,本文构建的煤矿瓦斯爆炸致因贝叶斯网络模型具有较高预测精度,可用于致因分析与推理。

3.2 节点条件概率分析

利用条件概率分析变量间的相互影响程度是建立贝叶斯网络的关键所在。贝叶斯网络参数学习的实质是求取DAG中各节点的条件概率分布[12]。目前,贝叶斯网络参数学习算法主要有最大似然估计、贝叶斯估计、期望最大(EM)算法[13]。由于事故调查报告中存在部分数据缺失的情况,本文采用可处理缺失数据的参数学习算法,即EM算法。EM算法的求解过程可分为2步:

(1) E(期望)步:依据观测到的变量和当前参数值计算样本的概率分布期望:

Q(θi|θi-1)=E[lgP(Y|θi)|θi-1,D]

(3)

式中:P(Y|θi)为特定情况下事件发生的条件概率,Y为要研究的事件,θi为导致事件Y发生的各因素;D为样本数据集。

(2) M(最大化)步:求当E步的概率分布期望最大时θi的值,即

(4)

将得到的θi值重新代入式(3),反复迭代,从而求得最优解。

利用GeNie软件的参数学习功能得出贝叶斯网络模型中各节点的条件概率分布。受篇幅所限,本文结合相关性分析和构建的贝叶斯网络模型,着重分析关键节点E4(瓦斯含量超标)和H3(瓦斯漏检)的条件概率分布,具体见表5、表6。其中,“no”代表节点状态取值为0,“yes”代表节点状态取值为1。

表5 节点E4的条件概率分布
Table 5 Conditional probability distribution of the nodeE4

父节点E4H3M6D1noyesnonoyesno0.2170.783yes0.7060.294no0.2870.713yes0.2740.726yesnoyesno0.1970.803yes0.1820.818no0.0100.990yes0.2360.764

表6 节点H3的条件概率分布
Table 6 Conditional probability distribution of the nodeH3

子节点H3M1M3noyesnono0.1060.894yes0.3750.625yesno0.2320.768yes0.4750.525

从表5可看出,在出现瓦斯漏检(H3取值为1)、人员违章操作(M6取值为1)、通风不正常(D1取值为0)情况下,出现瓦斯含量超标(E4取值为1)的概率最大,为0.990,故可认为在煤矿生产过程中,若以上3种情况同时出现,基本就可认定会导致矿井下瓦斯含量超标。当瓦斯没有漏检(H3取值为0)、人员无违章操作(M6取值为0)、通风正常(D1取值为1)时,瓦斯含量超标(E4取值为1)的概率仅为0.294;相反,当瓦斯没有漏检(H3取值为0)、人员无违章操作(M6取值为0)、通风不正常(D1取值为0)时,瓦斯含量超标(E4取值为1)的概率为0.783。对比可发现,通风不足将导致瓦斯含量超标的概率大幅提升。

分析表6发现,当煤矿企业法律法规不健全(M1取值为0)、员工培训不到位(M3取值为0)时,发生瓦斯漏检(H3取值为1)的概率高达0.894;而当煤矿企业法律法规健全(M1取值为1)、员工培训不到位(M3取值为0)时,发生瓦斯漏检(H3取值为1)的概率仍达0.768,这充分说明在煤矿生产过程中,加强员工教育培训是减少瓦斯爆炸事故发生的有效手段。

3.3 节点后验概率分布

后验概率分析是贝叶斯网络推理中涉及最多的问题,一方面可在已知原因前提下推断出结果发生概率,即预测推理;另一方面也可在已知结果状态情况下,找出导致结果发生的最可能原因,即故障诊断[14]。本文主要利用后验概率的故障诊断功能,对变量进行逆向推理,找出导致目标事件发生的最可能因素,从而更精准地对事件态势进行评估、预测。

在贝叶斯网络模型中,将根节点B设定为证据节点(即已知煤矿瓦斯爆炸事故发生的概率为100%),得出节点的后验概率分布,结果如图2所示。

图2 贝叶斯网络节点的后验概率分布
Fig.2 Posterior probability distribution of Bayesian network nodes

从图2可知,在煤矿瓦斯爆已发生情况下,瓦斯含量超标(E4取值为1)发生的可能性最大,概率高达96%;其次为瓦斯漏检(H3取值为1),概率为91%;节点违规生产、开采(M9取值为1)概率为66%;产生电火花(D2取值为1)概率为55%;违章爆破(H2取值为1)概率为53%;顶板不稳定(E5取值为0)概率为44%。

3.4 敏感性分析

在贝叶斯网络中,子节点的后验概率会随父节点的先验概率的变化而改变。敏感性分析将由父节点发生变化而引起的子节点参数变化程度进行量化,从而识别出贝叶斯网络模型中的关键因素[14]。在GeNie软件中将根节点B设定为目标节点,执行敏感性分析,得出节点敏感度分布,如图3所示。其中,节点的颜色深度与其敏感度成正比。

图3 贝叶斯网络模型变量敏感性分析
Fig.3 Variable sensitivity analysis of Bayesian network model

从图3可看出,整个模型中,节点的敏感度可分为6个等级:① 高度敏感,包括节点E4(瓦斯含量超标)、E5(顶板稳定)、M1(法律法规健全)、H3(瓦斯漏检);② 较高度敏感,包括节点H2(违章爆破)、M3(教育培训)、M8(管理技术到位);③ 中度敏感,包括节点M6(违章操作)、D2(产生电火花);④ 较低敏感,包括节点D1(通风正常)、M2(安全监管机制)、M9(违规生产)、H1(带电作业);⑤ 低敏感,包括节点M5(违章指挥)、M7(管理决策方式);⑥ 不敏感,包括节点E1(粉尘浓度)、E2(温度)、E3(湿度)、M4(无证上岗)。通过敏感性分析可发现瓦斯含量超标、瓦斯漏检、顶板稳定、 法律法规健全是影响煤矿瓦斯爆炸事故的最主要因素。

4 结论

(1) 采用数据驱动思想,从人为因素、设备因素、环境因素、管理因素4个方面综合考量,选取19个变量作为瓦斯爆炸风险研究要素,并利用相关性分析筛选出相关性较强的变量:变量D1(通风正常)和E4(瓦斯含量超标)的相关性最强,其次是E2(温度)与E3(湿度)。

(2) 在GeNie中构建煤矿瓦斯爆炸事故致因贝叶斯网络模型,并采用LOO-CV交叉验证方法对贝叶斯网络模型的可靠性和准确性进行了验证。

(3) 利用贝叶斯网络参数学习功能,计算了网络模型中各节点的条件概率分布值。分析关键节点E4(瓦斯含量超标)和H3(瓦斯漏检)的条件概率分布发现,在通风不正常情况下,煤层瓦斯含量超标的可能性将大幅提高;员工培训不到位是瓦斯漏检的主要诱因。

(4) 节点后验概率计算结果表明,在已知煤矿瓦斯爆炸发生的前提下,最可能导致事故发生的因素是煤层瓦斯含量超标,其概率高达96%;其次是瓦斯漏检,概率为91%。要有效避免煤矿瓦斯爆炸事故的发生,就要加强员工培训力度,提高员工的瓦斯检测意识,同时要完善通风管理体系,最大程度上避免煤层瓦斯含量超标。

(5) 通过敏感性分析将节点的敏感度划分为6个等级,其中节点E4(瓦斯含量超标)、E5(顶板稳定)、M1(法律法规健全)、H3(瓦斯漏检)的敏感性最强,是导致煤矿瓦斯爆炸事故发生的关键因素。因此,在煤矿生产过程中,在保证其他指标正常的前提下,煤矿企业和相关管理人员要将预防瓦斯含量超标、避免瓦斯漏检、加强顶板稳定性、健全法律法规作为工作重点。

参考文献( References):

[1] 李树砖,田水承,郭彬彬.基于ISM的煤矿瓦斯爆炸事故致因分析[J].矿业安全与环保,2011,38(5):83-86.

LI Shuzhuan, TIAN Shuicheng, GUO Binbin. Cause analysis of coal mine gas explosion accident based on ISM [J]. Mining Safety and Environmental Protection,2011,38(5):83-86.

[2] 索晓. 煤矿瓦斯爆炸事故致因分析方法与应用研究[D].北京:中国矿业大学(北京),2018.

[3] 张津嘉,许开立,王贝贝,等.特别重大煤矿瓦斯爆炸事故致因分析及管理模式研究[J].中国安全科学学报,2016,26(2):73-78.

ZHANG Jinjia,XU Kaili,WANG Beibei,et al.Extraordinarily serious gas explosion accidents in coal mines:analysis of causes and research on management mode[J].China Safety Science Journal,2016,26(2):73-78.

[4] 谢国民,单敏柱,付华.基于FOA-SVM的煤矿瓦斯爆炸风险模式识别[J].控制工程,2018,25(10):1859-1864.

XIE Guomin,SHAN Minzhu,FU Hua.Pattern recognition of gas explosion risks in coal mines based on FOA-SVM[J].Control Engineering of China,2018,25(10):1859-1864.

[5] 李润求,施式亮,念其锋,等.基于IAHP-ECM的瓦斯爆炸灾害风险评估[J].中国安全科学学报,2013,23(3):62-67.

LI Runqiu, SHI Shiliang, NIAN Qifeng, et al. Risk assessment of gas explosion disasters based on IAHP-ECM [J]. China Safety Science Journal, 2013,23(3):62-67.

[6] 郭笑丹.基于贝叶斯网络的民航突发事件因果关系分析方法研究[D].天津:中国民航大学,2018.

[7] DARWICHE A. Bayesian networks[J]. Communications of the ACM,2010,53(12):80-90.

[8] FENTON N, NEIL M. Risk assessment and decision analysis with Bayesian networks[M]. Boca Raton:CRC Press, 2013.

[9] 李贤功,葛家家,胡婷,等.煤矿顶板事故致因分析的贝叶斯网络研究[J].中国安全科学学报,2014,24(7):10-14.

LI Xiangong,GE Jiajia,HU Ting,et al.Bayesian network modeling for causation analysis of coal mine roof accident[J].China Safety Science Journal,2014,24(7):10-14.

[10] 陈兆波,阴东玲,曾建潮,等.基于贝叶斯网络的煤矿事故人因推理[J].中国安全生产科学技术,2014,10(11):145-150.

CHEN Zhaobo,YIN Dongling,ZENG Jianchao,et al.Human factors inference of safety accidents in coal mine based on Bayesian network[J].Journal of Safety Science and Technology,2014,10(11):145-150.

[11] 阴东玲. 基于贝叶斯网络的煤矿安全事故人因推理[D].太原:太原科技大学,2016.

[12] 曹杰.贝叶斯网络结构学习与应用研究[D].合肥:中国科学技术大学,2017.

[13] 张一文,齐佳音,方滨兴,等.基于贝叶斯网络建模的非常规危机事件网络舆情预警研究[J].图书情报工作,2012,56(2):76-81.

ZHANG Yiwen,QI Jiayin,FANG Binxing,et al.Online public opinion risk warning based on Bayesian network modeling[J].Library and Information Service,2012,56(2):76-81.

[14] 严利鑫,秦伶巧,熊钰冰,等.多模式共驾智能车行驶安全性评估研究[J].交通信息与安全,2018,36(3):1-7.

YAN Lixin,QIN Lingqiao,XIONG Yubing,et al.A safety evaluation on intelligent vehicles with multi-mode cooperative driving[J]. Journal of Transport Information and Safety,2018,36(3):1-7.

Causes analysis of coal mine gas explosion accidents based on Bayesian network

ZHANG Ning,SHENG Wu

(School of Economics and Management, Anhui University of Science and Technology,Huainan 232001,China)

AbstractExisting causes analysis of coal mine accidents is mainly based on unilateral factor, ignoring correlation and integrity of four factors of human, machine, environment and management, and the types of accidents involved are relatively generalized. In view of the above problems, factors inducing coal mine gas explosion accident are selected from four aspects of human, machine, environment and management, and correlation analysis is used to select variables with strong correlation. Bayesian network model of coal mine gas explosion causes is constructed by GeNie, and reliability and accuracy of the model are verified by cross-validation method. The parameters of each node in the model are analyzed by Bayesian network parameter learning and sensitivity analysis. The conditional probability distribution and posterior of the relevant nodes under different conditions are calculated to extract key factors inducing gas explosion accidents in coal mines. The analysis results show that insufficient ventilation will greatly increase the possibility of excessive gas content in coal seams, unqualified employee training is the main cause of gas missed inspection; in the case of coal mine gas explosion accidents has happened, the most likely cause is excessive gas content, and followed by missed gas inspection; the most critical factors leading to coal mine gas explosion accidents are excessive gas content, missed gas inspection, unstable roof, and unsound laws and regulations.

Key words:coal mine gas explosion; accident cause; Bayesian network; correlation analysis; cross-validation; posterior probability; sensitivity analysis

中图分类号:TD712.7

文献标志码:A

文章编号1671-251X(2019)07-0053-06

DOI:10.13272/j.issn.1671-251x.2019010049

收稿日期:2019-01-15;修回日期:2019-06-07;

责任编辑:胡娴。

基金项目:国家自然科学基金项目(71371014);安徽省自然科学基金面上项目(1808085MG212);安徽高校省级自然科学研究重点项目(KJ2016A205)。

作者简介:张宁(1992-),女,河南漯河人,硕士研究生,主要研究方向为煤矿安全与信息管理,E-mail:524937095@qq.com。

通信作者:盛武(1969-),男,安徽淮南人,副教授,博士,研究方向为煤矿信息化建设、数据分析与决策,E-mail:604597010@qq.com。

引用格式:张宁,盛武.基于贝叶斯网络的煤矿瓦斯爆炸事故致因分析[J].工矿自动化,2019,45(7):53-58.

ZHANG Ning,SHENG Wu.Causes analysis of coal mine gas explosion accidents based on Bayesian network[J].Industry and Mine Automation,2019,45(7):53-58.